DOI 10.35381/cm.v11i3.1941

 

Análisis jurídico de los derechos de las víctimas en el delito de estupro

 

Legal analysis of victims' rights in the crime of statutory rape

 

Camila Ivanna Galarza-Vera

dq.camilaigv05@uniandes.edu.ec

Universidad Regional Autónoma de los Andes, Quevedo, Los Ríos

Ecuador

https://orcid.org/0009-0003-7675-794X

 

Andrea Fernanda Alarcón-Cedeño

andrefac31@uniandes.edu.ec

Universidad Regional Autónoma de los Andes, Quevedo, Los Ríos

Ecuador

https://orcid.org/0009-0008-6543-5773

 

Dionisio Ponce-Ruiz

uq.dionisioponce@uniandes.edu.ec

Universidad Regional Autónoma de los Andes, Quevedo, Los Ríos

Ecuador

https://orcid.org/0000-0002-5712-4376

 

Deinier Ros-Álvarez

uq.deinierra09@uniandes.edu.ec

Universidad Regional Autónoma de los Andes, Quevedo, Los Ríos

Ecuador

https://orcid.org/0000-0002-1531-3355

 

 

Recibido: 20 de agosto 2025

Revisado: 10 de octubre 2025

Aprobado: 15 de noviembre 2025

Publicado: 01 de diciembre 2025

 


 

 

RESUMEN

El objetivo de la investigación fue analizar jurídicamente los derechos de las víctimas en el delito de estupro. Se utilizó el método cuantitativo el cual produce datos descriptivos, que se originaron por la recolección de datos.  Se apoyó en la revisión documental-bibliográfica.  Además, se aplicó el método inductivo-deductivo. Se planteó además el método analítico-sintético. Como técnica principal se empleó la encuesta, dirigida a una muestra de 20 profesionales del derecho activos en el ámbito penal. El instrumento que se utilizó fue un cuestionario estructurado de 10 preguntas. Se concluye que, a pesar de los avances normativos significativos, como la eliminación de conceptos discriminatorios y la inclusión del interés superior del menor, se mantienen restricciones teóricas en la interpretación de los derechos de las víctimas. Esto es lo que demuestra el análisis doctrinario y jurídico del delito de estupro en Ecuador.

 

Descriptores: Bienestar de la infancia; sistemas jurídicos; derechos de grupos especiales. (Tesauro UNESCO)

 

 

ABSTRACT

The objective of the research was to legally analyze the rights of victims in the crime of statutory rape. The quantitative method was used, which produces descriptive data, which originated from data collection.  It was supported by a documentary-bibliographic review.  In addition, the inductive-deductive method was applied. The analytical-synthetic method was also proposed. The main technique used was a survey of a sample of 20 legal professionals working in the criminal justice system. The instrument used was a structured questionnaire with 10 questions. It is concluded that, despite significant regulatory advances, such as the elimination of discriminatory concepts and the inclusion of the best interests of the child, theoretical restrictions remain in the interpretation of victims' rights. This is demonstrated by the doctrinal and legal analysis of the crime of statutory rape in Ecuador.

 

Descriptors: Child welfare; legal systems; rights of special groups. (UNESCO Thesaurus)

 

 

 


INTRODUCCIÓN

El delito de estupro, que se define como una relación sexual con un menor de edad a través de manipulación o engaño emocional, es una violación grave que tiene un impacto severo en la salud psicológica y emocional de la persona afectada. Las personas que han pasado por estas circunstancias pueden sufrir efectos devastadores: desconfianza en sí mismas, confusión emocional, culpabilidad, problemas de ansiedad y dificultades para desarrollar relaciones con otros.

Además de estos efectos, el peligro de revictimización durante el proceso penal se añade, sobre todo cuando no se implementan medidas de protección apropiadas que aseguren su integridad psicológica. El trato desconsiderado, la comparecencia reiterada y la exposición pública tienen el potencial de transformar al sistema judicial en un segundo ámbito de violencia.

El delito de estupro ha tenido una presencia significativa en la evolución legislativa del Ecuador y ha sufrido cambios importantes desde que se incorporó en el Código Penal de 1837 hasta el actual Código Orgánico Integral Penal (2014). Estos cambios muestran una evolución en la percepción del crimen y un reconocimiento gradual de los derechos de las víctimas.

Por otro lado, el delito de estupro, en el Código Penal de 1938, fue reescrito para empezar a separarlo del concepto de honor y centrarse en la protección de las menores. En esta versión, se definía el estupro como la cópula con una mujer honesta lograda a través de engaño o seducción. No obstante, la alusión a "mujer honesta" tenía un carácter moralista y dejaba fuera del ámbito de protección a las mujeres que no cumplían con este criterio subjetivo.

Con la promulgación del COIP en 2014, el estupro fue redefinido en términos más inclusivos y objetivos. El artículo 167 establece que comete estupro la persona mayor de dieciocho años que, mediante engaño, mantiene relaciones sexuales con alguien mayor de catorce y menor de dieciocho años. Este cambio eliminó términos discriminatorios como "mujer honesta" y amplió la protección a todos los adolescentes, sin distinción de género. Sin embargo, mantuvo el engaño como elemento constitutivo del delito, lo que genera debates sobre su interpretación práctica y su eficacia para sancionar conductas abusivas.

La Corte Constitucional, en el año 2021, dictó la sentencia 13-18-CN/21, en la que consideró que el consentimiento para relaciones sexuales de adolescentes mayores de catorce años es constitucionalmente válido. Esta resolución cambió el marco de interpretación del delito de estupro, enfatizando el principio del interés superior del menor y requiriendo que se evaluara individualmente el consentimiento. Si bien se reconoció la capacidad de los adolescentes para tomar decisiones informadas sobre su sexualidad a medida que crecen, esto también tuvo el efecto de acotar la aplicación del delito de estupro, generando vacíos legales que no protegen a las víctimas en relaciones con desequilibrios de poder.

Por otro lado, las secuelas psicológicas que las víctimas de estupro suelen padecer afectan su bienestar emocional y social. La aparición de trastornos de ansiedad, depresión, estrés postraumático y problemas en las relaciones con los demás son algunas de las consecuencias más frecuentes. Los sentimientos de vergüenza y culpabilidad, así como una baja notable de la autoestima, pueden ser provocados por experiencias traumáticas. De acuerdo con investigaciones, el trauma de ser agredido sexualmente o violado puede ser devastador, dejando a la víctima con miedo, vergüenza y soledad, o atormentada por recuerdos inquietantes y pesadillas.

Es esencial la intervención psicológica para que las víctimas se recuperen. Las terapias orientadas a procesar el trauma, como la Terapia Cognitivo-Conductual, han probado ser eficaces al disminuir los síntomas postraumáticos y mejorar la calidad de vida de las personas que lo sobrevivieron (PTSD, 2015).

Las repercusiones de esto en la población adolescente requieren atención particular, especialmente en su ciclo educativo, donde a menudo los embarazos no son planeados. Esto puede llevar a abortos mal realizados y al abandono materno o del hijo, lo que representa el problema social de la madre soltera. En otras situaciones, las ITS pueden comprometer la salud e integridad de las personas (Badillo-Viloria, 2019).

En tal sentido, la sentencia 13-18-CN/21 de la Corte Constitucional de Ecuador ha influido significativamente en el manejo de los crímenes sexuales, sobre todo en lo que respecta a la importancia del consentimiento como factor normativo dentro del tipo penal. No obstante, es necesario distinguir con precisión los efectos de esta sentencia. Esta decisión no tiene repercusiones en todos los delitos sexuales. Algunos de los que quedan fuera son la corrupción de niños, niñas y adolescentes, el acoso sexual, la inseminación no consentida y la difusión de material pornográfico, entre otros.

Así, el derecho penal no puede transformarse en una herramienta de venganza familiar o social, ni en un sistema automatizado de castigos penales. Por lo tanto, los abogados que actúan como representantes de la supuesta víctima deben enfocarse en acciones de reparación integral en vez de buscar solamente la pena privativa de libertad, ya que su desproporción puede infringir derechos del acusado, sobre todo si hay madurez y consentimiento en la relación amorosa.

Se plantea como objetivo de la investigación analizar jurídicamente los derechos de las víctimas en el delito de estupro.

 

MÉTODO

La investigación utiliza el método cuantitativo el cual produce datos descriptivos, que se originan por la recolección de datos. Apoyado en la revisión documental-bibliográfica. Además, se aplica el método inductivo-deductivo, el cual sugiere que para encontrar una verdad se deben buscar los hechos y no basarse en meras especulaciones, además de partir de afirmaciones generales para llegar a específicas (Dávila, 2006). Se plantea además el método analítico-sintético por medio del cual, se descompone un todo en partes extrayendo cualidades, componentes, relaciones y más para posteriormente unir las partes analizadas y con ello descubrir características y relaciones entre los elementos (Rodríguez y Pérez, 2017). Como técnica principal se emplea la encuesta, dirigida a una muestra de 20 profesionales del derecho activos en el ámbito penal. El instrumento utilizado es un cuestionario estructurado de 10 preguntas.

 

RESULTADOS

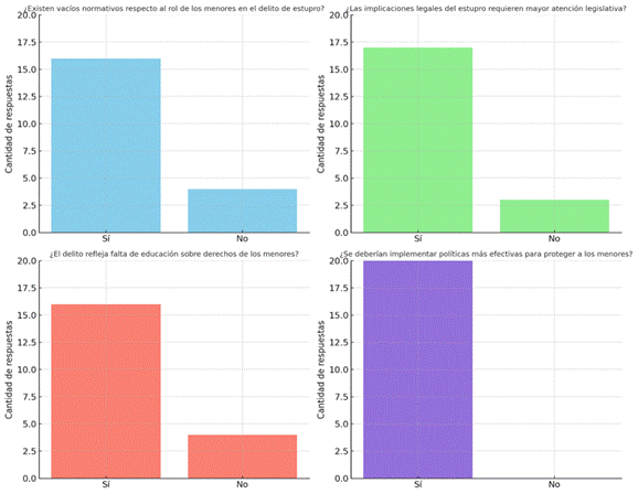
Los datos recolectados fueron procesados estadísticamente y representados mediante gráficos de barras.

 

 

 

 

 

 

 

 

 

 

 

 

 

 

 

 

Elaboración: Los autores.

 

El primer gráfico muestra que una gran mayoría de los encuestados (85%) piensa que las leyes ecuatorianas tienen vacíos normativos en lo que respecta al papel de los menores en el delito de estupro. Esta percepción indica una preocupación común por la escasez de precisión legal para tratar eficazmente la intervención y protección de los adolescentes en estas situaciones. Además, la urgencia de revisar y actualizar el marco legal actual se pone de manifiesto, particularmente en lo que respecta al consentimiento y a la responsabilidad de los adultos implicados.

Respecto a la segunda pregunta, el 90% de los expertos encuestados coincidieron en que las consecuencias legales del estupro necesitan más atención de los legisladores. Esto señala que, aunque el Código Orgánico Integral Penal (2014) tiene un fundamento jurídico, su implementación en la práctica muestra restricciones que podrían estar dificultando la justicia para las víctimas. Esta percepción también revela la urgencia de reformas en las leyes que alineen los criterios judiciales y aseguren una protección eficaz y consistente con los principios del interés superior del niño.

El estudio del tercer y cuarto gráfico revela un consenso aún más fuerte. El 85% de los participantes en la encuesta vincula el delito de estupro con una deficiencia en la educación sobre derechos reproductivos y sexuales, según la tercera cuestión. En la cuarta, en cambio, todos coinciden en que es necesario poner en marcha políticas públicas más eficaces para evitar esta clase de explotación sexual. Estos datos corroboran que es preciso reforzar las estrategias de prevención y el sistema educativo, incluyendo una educación integral en sexualidad y acciones institucionales que incluyan tanto a las familias como al Estado.

 

DISCUSIÓN

La Constitución ecuatoriana, en su artículo 78, y el Código Orgánico Integral Penal (COIP), en varios de sus artículos vinculados con delitos sexuales, reconocen que las víctimas tienen derecho a ser reparadas de manera integral. No obstante, en la práctica hay restricciones estructurales que hacen imposible aplicar estas medidas de manera efectiva. Una de las carencias más notables es la falta de protocolos precisos que determinen la manera en que debe llevarse a cabo la reparación desde una perspectiva interdisciplinaria y enfocada en el afectado. Esto produce respuestas institucionales descoordinadas y, en numerosas ocasiones, la víctima se ve obligada a afrontar el proceso penal sola, sin la ayuda apropiada, lo cual pone en riesgo sus derechos y su bienestar.

El modelo de justicia restaurativa constituye un proceso de apoyo esencial que garantiza que las víctimas sean tratadas con respeto y equidad. Su implementación facilita la restauración del daño y la obtención de indemnización, promoviendo un trato justo para los participantes. (Loja-Yaucan et al.,2023).

Por otro lado, se constata que la alta incidencia de la violencia sexual, especialmente contra las mujeres y con una mayor frecuencia en niños y niñas de 10 a 14 años, está profundamente influenciada por factores sociales, como los roles de género, los estereotipos y las normas sociales que históricamente han perpetuado y normalizado la violencia contra la mujer. (Yaranga-Serrano et al.,2023).

En términos teóricos, los resultados de la investigación actual confirman que existe una discrepancia entre la normativa jurídica en vigor y su aplicación real frente al delito de estupro. La doctrina del interés superior del niño, la cual está establecida en la Constitución de Ecuador y en acuerdos internacionales como la Convención sobre los Derechos del Niño, demanda que cualquier acción estatal esté enfocada en proteger a los niños de manera integral.

Sobre el diagnóstico situacional, los datos recopilados muestran que los profesionales del derecho comparten una percepción generalizada acerca de las carencias normativas y operativas relacionadas con la gestión del delito de estupro. La falta de políticas preventivas efectivas, la escasa atención legislativa y la presencia de vacíos legales fueron mencionadas por la mayoría de los encuestados. La ausencia de coordinación entre las diferentes instituciones, como la Fiscalía, los servicios de salud mental, el sistema judicial y las entidades encargadas de la protección de derechos agravan esta situación.

Además, la revictimización continúa siendo un problema específico, pues muchos de los afectados no obtienen protección real ni asistencia psicológica apropiada en las fases procesales, lo cual socava la fe en la justicia y dificulta que se denuncien estos crímenes.

Por ello, la necesidad de garantizar una tutela judicial efectiva y la reparación integral de las víctimas, tal como lo exige la Constitución y los instrumentos internacionales de derechos humanos. (Salame Ortiz et al.,2020).

La investigación sugiere, ante este contexto, que las políticas públicas y la normativa se fortalezcan a través de tres pilares principales: formación de operadores de justicia, reparación integral y prevención. Primeramente, es indispensable incorporar en el COIP lineamientos particulares para que las acciones de reparación trasciendan la pena privativa de libertad e incorporen dispositivos simbólicos, psicológicos y sociales. En segundo lugar, es necesario poner en marcha programas de formación enfocados en los derechos de los niños y adolescentes para fiscales, jueces y defensores. Estos programas deben permitirles actuar con sensibilidad y evitar la revictimización.

 

CONCLUSIONES

A pesar de los avances normativos significativos, como la eliminación de conceptos discriminatorios y la inclusión del interés superior del menor, se mantienen restricciones teóricas en la interpretación de los derechos de las víctimas. Esto es lo que demuestra el análisis doctrinario y jurídico del delito de estupro en Ecuador. La protección efectiva y real de los adolescentes que han sido afectados por este tipo de delitos no es posible porque la reparación integral y la prevención de la revictimización todavía no están totalmente implementadas ni entendidas en el enfoque garantista de los derechos humanos.

 

FINANCIAMIENTO

No monetario.

 

AGRADECIMIENTO

A la Universidad Regional Autónoma de Los Andes, en el desarrollo de la investigación.

 

REFERENCIAS CONSULTADAS

Asamblea Nacional (2014). Código Orgánico Integral Penal. Registro Oficial Nº 180. https://url2.cl/53c6h

 

Badillo-Viloria, M., Mendoza-Sánchez, X., Barreto Vásquez, M., & Díaz-Pérez, A. (2020). Comportamientos sexuales riesgosos y factores asociados entre estudiantes universitarios en Barranquilla, Colombia, 2019. Enfermería Global, 19(3), 422–449. https://doi.org/10.6018/eglobal.412161

 

Corte Constitucional del Ecuador. (2021). Sentencia 13-18-CN/21. https://n9.cl/wg6ul

 

Dávila Newman, G. (2006). El razonamiento inductivo y deductivo dentro del proceso investigativo en ciencias experimentales y sociales. Laurus, 12(Ext),180-205. https://n9.cl/nx847

 

Jefe Supremo de la República. (1938). CÓDIGO PENAL. Normativa: Histórica. https://n9.cl/hndql

 

Loja-Yaucan, G. A., Granja-Zurita, D. F., & Estupiñan-Ricardo, J. (2023). La justicia restaurativa y el rol de victima en el proceso penal ecuatoriano. IUSTITIA SOCIALIS, 8(1), 1360–1369. https://doi.org/10.35381/racji.v8i1.3307

 

Pos Ttraumatic Stress Disorder. (2015). Tratamientos para el TEPT. https://n9.cl/r4d34

 

Rodríguez Jiménez, A., y Pérez Jacinto, A. O. (2017). Métodos científicos de indagación y de construcción del conocimiento. Revista Ean, (82), 175–195. https://doi.org/10.21158/01208160.n82.2017.1647

 

Salame Ortiz, M., Pérez Mayorga, B., & San Lucas Solórzano, M. (2020). La víctima en los delitos contra la integridad sexual. Revista Universidad y Sociedad, 12(3), 353-363. https://n9.cl/5a6l

Yaranga-Serrano, Y., Ramos-Suyo, J., Aponte-Mariño, C., & Mesajil-Yaranga, M. (2023). Medios probatorios en los delitos sexuales. Revista Arbitrada Interdisciplinaria Koinonía, 8(Supl.1),467-482. https://doi.org/10.35381/r.k.v8i1.2803

 

 

 

 

 

 

 

 

 

 

 

©2025 por los autores. Este artículo es de acceso abierto y distribuido según los términos y condiciones de la licencia Creative Commons Atribución-NoComercial-CompartirIgual 4.0 Internacional (CC BY-NC-SA 4.0) (https://creativecommons.org/licenses/by-nc-sa/4.0/).